Mata Lokal Desa

Sumatera Selatan (Sumsel) adalah satu di antara wilayah-wilayah di Indonesia dengan kekayaan alam yang melimpah, potensi wisata yang mengagumkan serta kekayaan dan keunikan budaya yang beragam.

Kekayaan alam dan keragaman potensi Sumsel itu tersebar di 3.270 desa/kelurahan di seluruh Sumsel.

Tribun Sumsel dan Sriwijaya Post menyajikan potensi kekayaan dan keunikan lokal Sumsel ini melalui "MataLokalDesa".

Tangkap-layar-rincian-alokasi-dana-desa-2025-di-Kabupaten-Lahat-Sumatera-Selat.jpg
Sabtu, 12 April 2025 17:22 WIB

10 Desa di Lahat dengan Alokasi Dana Desa TA 2025 Terbesar, Desa Manggul Rp 1,3 Miliar

Daftar-rincian-alokasi-dana-desa-2025-di-Kabupaten-Banyuasin-Sumatera-Selatan.jpg
Sabtu, 12 April 2025 14:53 WIB

10 Desa dengan Alokasi Dana Desa 2025 Terbesar di Kabupaten Banyuasin, Sungsang IV Rp 2,53 Miliar

Daftar-Dana-Desa-Kabupaten-Musi-Rawas-Provinsi-Sumsel-Tahun-Anggaran-2025-Total-Rp-772-Miliar.jpg
Sabtu, 12 April 2025 14:51 WIB

Daftar Dana Desa Kabupaten Musi Rawas Provinsi Sumsel Tahun Anggaran 2025, Total Rp 77,2 Miliar

Daftar-rincian-alokasi-dana-desa-2025-di-Empat-Lawang-Sumatera-Selatan-Babatan-terbanyak.jpg
Sabtu, 12 April 2025 14:29 WIB

10 Desa dengan Alokasi Dana Desa 2025 Terbesar di Kabupaten Empat Lawang, Babatan Rp 1,57 Miliar

Daftar-alokasi-dana-desa-2025-di-Kabupaten-Muara-Enim-Sumatera-Selatan-Tegal-Rejo-terbanyak.jpg
Sabtu, 12 April 2025 14:09 WIB

10 Desa Alokasi Dana Desa 2025 Terbesar di Kabupaten Muara Enim, Tegal Rejo Rp 1,86 Miliar

Daftar-Dana-Desa-Kabupaten-Ogan-Komering-Ulu-Provinsi-Sumsel-Tahun-Anggaran-2025-Total-Rp-125-M.jpg
Sabtu, 12 April 2025 13:43 WIB

Daftar Dana Desa Kabupaten Ogan Komering Ulu Provinsi Sumsel Tahun Anggaran 2025, Total Rp 125 M

Kisah-Kades-Gunung-Sugih-OKU-Timur-Hadirkan-Pos-Bantuan-Hukum-untuk-Warga.jpg
Jumat, 11 April 2025 15:08 WIB

Sosok Sunarso Kades Gunung Sugih OKU Timur Hadirkan Pos Bantuan Hukum Gratis Bagi Warga, Mantan Kuli

Mengenal-Tradisi-Cang-Icang-Lantunan-Puisi-Berirama-Khas-Masyarakat-OKI-Sumsel.jpg
Minggu, 6 April 2025 14:54 WIB

Mengenal Tradisi Cang Icang, Seni Puisi Berirama Khas Masyarakat Kayuagung Saat Lebaran & Pernikahan

Libatkan-Ribuan-Orang-7-Desa-Adat-di-Belitang-II-OKUT-Gelar-Pawai-Ogoh-ogoh-Sambut-Hari-Raya-Nyepi.jpg
Sabtu, 29 Maret 2025 14:05 WIB

Libatkan Ribuan Orang, 7 Desa Adat di Belitang II OKUT Gelar Pawai Ogoh-ogoh Sambut Hari Raya Nyepi

Mengenal-Guwai-Buak-Tradisi-Membuat-Kue-Lebaran-di-Masyarakat-Komering-Sumsel-Penuh-Kebersamaan.jpg
Jumat, 28 Maret 2025 12:06 WIB

Mengenal Guwai Buak, Tradisi Membuat Kue Lebaran di Masyarakat Komering Sumsel, Penuh Kebersamaan

Sosok-Hendi-Mukhtar-Kades-Mataram-Musi-Rawas-Jadikan-Wilayahnya-Raih-Julukan-Desa-Kerukunan.jpg
Senin, 24 Maret 2025 12:52 WIB

Sosok Hendi Mukhtar, Kades Mataram Musi Rawas Jadikan Wilayahnya Raih Julukan Desa Kerukunan

Mengenal-Desa-Karang-Manik-Dulu-Lokasi-Transmigrasi-Warga-Bali-di-Sumsel.jpg
Minggu, 16 Maret 2025 12:45 WIB

Mengenal Desa Karang Manik, Dulu Lokasi Transmigrasi dari Bali ke Sumsel Kini Terus Pacu Pembangunan

Mengenal-Desa-Sinar-Dewa-PALI-Miliki-Sumber-Air-Alami-Siap-Minum-dan-Tak-Pernah-Mengering.jpg
Jumat, 14 Maret 2025 16:11 WIB

Mengenal Desa Sinar Dewa PALI, Miliki Sumber Air Alami Siap Minum dan Tak Pernah Mengering

Pemdes-Tanjung-Kemala-Bakal-Pasang-CCTV-dan-Lampu-Penerangan-Jalan-Demi-Kenyamanan-Masyarakat.jpg
Jumat, 14 Maret 2025 13:29 WIB

Pemdes Tanjung Kemala Bakal Pasang CCTV dan Lampu Penerangan Jalan Demi Kenyamanan Masyarakat

Asal-Usul-Embung-Puri-Idaman-di-Desa-Wisata-di-OKU-Timur-Dulu-Hanya-Hutan-dan-Aliran-Sungai-Kecil.jpg
Rabu, 12 Maret 2025 15:48 WIB

Asal Usul Embung Puri Idaman Desa Wisata di OKU Timur, Dulu Hanya Hutan dan Aliran Sungai Kecil

Sejarah-Nama-Desa-Mataram-di-Tugumulyo-Musi-Rawas-Ternyata-Berkaitan-Dengan-Keraton-Mataram.jpg
Rabu, 12 Maret 2025 13:46 WIB

Sejarah Nama Desa Mataram di Tugumulyo Musi Rawas, Ternyata Berkaitan Dengan Keraton Mataram

Demi-Kebutuhan-Gizi-di-Posyandu-Desa-Sukamaju-PALI-Manfaat-Tanah-Desa-Untuk-Ditanami-Tanaman-Pangan.jpg
Jumat, 17 Januari 2025 19:29 WIB

Demi Kebutuhan Gizi di Posyandu, Desa Sukamaju PALI Manfaat Tanah Desa Untuk Ditanami Tanaman Pangan

Pemerintah-Siapkan-Dana-Desa-Rp-2665-M-Untuk-288-Desa-di-Banyuasin-Berikut-Rincian-Penggunaannya.jpg
Selasa, 14 Januari 2025 13:58 WIB

Pemerintah Siapkan Dana Desa Rp 266,5 M Untuk 288 Desa di Banyuasin, Berikut Rincian Penggunaannya

Rincian-Dana-Desa-per-Desa-TA-2025-Kabupaten-Bekasi-Jawa-Barat-Total-Rp-2849-miliar.jpg
Kamis, 9 Januari 2025 18:59 WIB

Rincian Dana Desa per Desa TA 2025 Kabupaten Bekasi Jawa Barat, Total Rp 284,9 miliar

Rincian-dana-desa-per-desa-TA-2025-Kabupaten-Karawang-Jawa-Barat-total-Rp-3589-miliar.jpg
Kamis, 9 Januari 2025 13:46 WIB

Rincian Dana Desa per Desa TA 2025 Kabupaten Karawang Jawa Barat, Total Rp 358,9 Miliar

Rincian-dana-desa-per-desa-TA-2025-Kabupaten-Sumedang-Jawa-Barat.jpg
Kamis, 9 Januari 2025 12:49 WIB

Rincian Dana Desa per Desa TA 2025 Kabupaten Sumedang Jawa Barat, Total Rp 275,5 Miliar

RINCIAN-Dana-Desa-Kabupaten-Subang-Provinsi-Jawa-Barat-Tahun-Anggaran-2025-Total-Rp-2851-Miliar.jpg
Kamis, 9 Januari 2025 10:53 WIB

RINCIAN Dana Desa Kabupaten Subang Provinsi Jawa Barat Tahun Anggaran 2025, Total Rp 285,1 Miliar

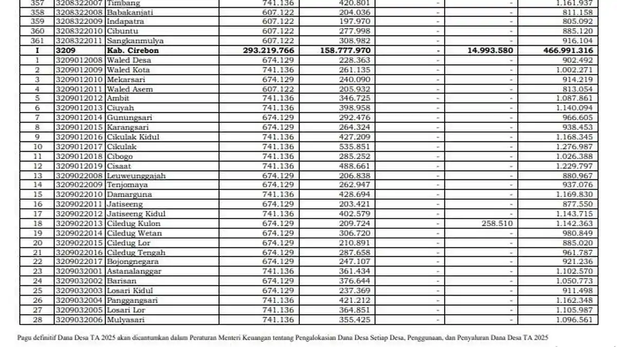
Rincian-Dana-Desa-per-Desa-di-Kabupaten-Cirebon-Provinsi-Jawa-Barat-TA-2025-Total-Dana-Rp-4669-M.jpg
Kamis, 9 Januari 2025 09:57 WIB

Rincian Dana Desa per Desa di Kabupaten Cirebon Provinsi Jawa Barat TA 2025, Total Dana Rp 466,9 M

Rincian-Dana-Desa-Kabupaten-Garut-Jawa-Barat-TA-2025-Lengkap-Per-Desa-Total-Anggaran-Rp-496-Miliar.jpg
Kamis, 9 Januari 2025 09:35 WIB

Rincian Dana Desa Kabupaten Garut Jawa Barat TA 2025 Lengkap Per Desa, Total Anggaran Rp 496 Miliar

Rincian-Jumlah-Dana-Desa-2025-Per-Desa-di-Kabupaten-Majalengka-Jawa-Barat.jpg
Rabu, 8 Januari 2025 16:59 WIB

Rincian Jumlah Dana Desa 2025 Per Desa di Kabupaten Majalengka Jawa Barat

Rincian-Dana-Desa-per-Desa-di-Kabupaten-Bogor-Provinsi-Jawa-Barat-TA-2025-Total-Rp-6255-Miliar.jpg
Rabu, 8 Januari 2025 15:50 WIB

Rincian Dana Desa per Desa di Kabupaten Bogor Provinsi Jawa Barat TA 2025, Total Rp 625,5 Miliar

Rincian-Dana-Desa-per-Desa-TA-2025-Kabupaten-Bandung-Total-Rp-3961-Miliar-untuk-269-Desa.jpg
Rabu, 8 Januari 2025 15:40 WIB

Rincian Dana Desa per Desa TA 2025 Kabupaten Bandung, Total Rp 396,1 Miliar untuk 269 Desa

Rincian-Jumlah-Dana-Desa-2025-Per-Desa-di-Kota-Prabumulih-Sumatera-Selatan.jpg
Rabu, 8 Januari 2025 14:19 WIB

Rincian Jumlah Dana Desa 2025 Per Desa di Kota Prabumulih, Sumatera Selatan

Rincian-dana-desa-per-desa-TA-2025-Kabupaten-Ciamis-Jawa-Barat-total-Rp-2692-miliar.jpg
Rabu, 8 Januari 2025 14:13 WIB

Rincian Dana Desa per Desa TA 2025 Kabupaten Ciamis Jawa Barat, Total Rp 269,2 Miliar

Rincian-Dana-Desa-per-Desa-TA-2025-Kabupaten-OKU-Timur-Total-Rp-2633-Miliar.jpg
Rabu, 8 Januari 2025 13:55 WIB

Rincian Dana Desa per Desa TA 2025 Kabupaten OKU Timur, Total Rp 263,3 Miliar

© 2026 TRIBUNnews.com Network,a subsidiary of KG Media.
All Right Reserved